濾波器不會引起顯著衰減的頻率范圍稱為通帶,濾波器確實導致顯著衰減的頻率范圍稱為阻帶。模擬濾波器,例如 RC 低通濾波器,總是從通帶逐漸過渡到阻帶。這意味著無法識別濾波器停止傳遞信號并開始阻塞信號的一個頻率。然而,工程師需要一種方便,簡潔地總結濾波器頻率響應的方法,這就是截止頻率概念發揮作用的地方。
當您查看 RC 濾波器的頻率響應圖時,您會注意到術語“截止頻率”不是很準確。信號光譜被“切割”成兩半的圖像,其中一個被保留而其中一個被丟棄,不適用,因為隨著頻率從截止點下方移動到截止值以上,衰減逐漸增加。
RC 低通濾波器的截止頻率實際上是輸入信號幅度降低 3dB 的頻率(選擇該值是因為幅度降低 3dB 對應于功率降低 50%)。因此,截止頻率也稱為 -3 dB 頻率,實際上該名稱更準確且信息量更大。術語帶寬是指濾波器通帶的寬度,在低通濾波器的情況下,帶寬等于 -3 dB 頻率(如下圖所示)。

該圖表示 RC 低通濾波器的頻率響應的一般特性。帶寬等于 -3 dB 頻率。
如上所述,RC 濾波器的低通行為是由電阻器的頻率無關阻抗與電容器的頻率相關阻抗之間的相互作用引起的。為了確定濾波器頻率響應的細節,我們需要在數學上分析電阻(R)和電容(C)之間的關系,我們還可以操縱這些值,以設計滿足精確規格的濾波器。RC 低通濾波器的截止頻率(f C)計算如下:


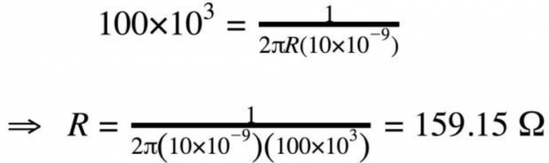
我們來看一個簡單的設計實例。電容值比電阻值更具限制性,因此我們將從常見的電容值(例如 10 nF)開始,然后我們將使用該公式來確定所需的電阻值。目標是設計一個濾波器,它將保留 5 kHz 音頻波形并抑制 500 kHz 噪聲波形。我們將嘗試 100 kHz 的截止頻率,稍后在文章中我們將更仔細地分析此濾波器對兩個頻率分量的影響。
因此,160Ω電阻與 10 nF 電容相結合,將為我們提供一個非常接近所需頻率響應的濾波器。

因此,160Ω電阻與 10 nF 電容相結合,將為我們提供一個非常接近所需頻率響應的濾波器。
烜芯微專業制造二極管,三極管,MOS管,橋堆等20年,工廠直銷省20%,4000家電路電器生產企業選用,專業的工程師幫您穩定好每一批產品,如果您有遇到什么需要幫助解決的,可以點擊右邊的工程師,或者點擊銷售經理給您精準的報價以及產品介紹

因此,160Ω電阻與 10 nF 電容相結合,將為我們提供一個非常接近所需頻率響應的濾波器。
烜芯微專業制造二極管,三極管,MOS管,橋堆等20年,工廠直銷省20%,4000家電路電器生產企業選用,專業的工程師幫您穩定好每一批產品,如果您有遇到什么需要幫助解決的,可以點擊右邊的工程師,或者點擊銷售經理給您精準的報價以及產品介紹

